Agreement would lend Aberdeen staff to process Cosi utility bills
Published 10:00 am Friday, March 29, 2024
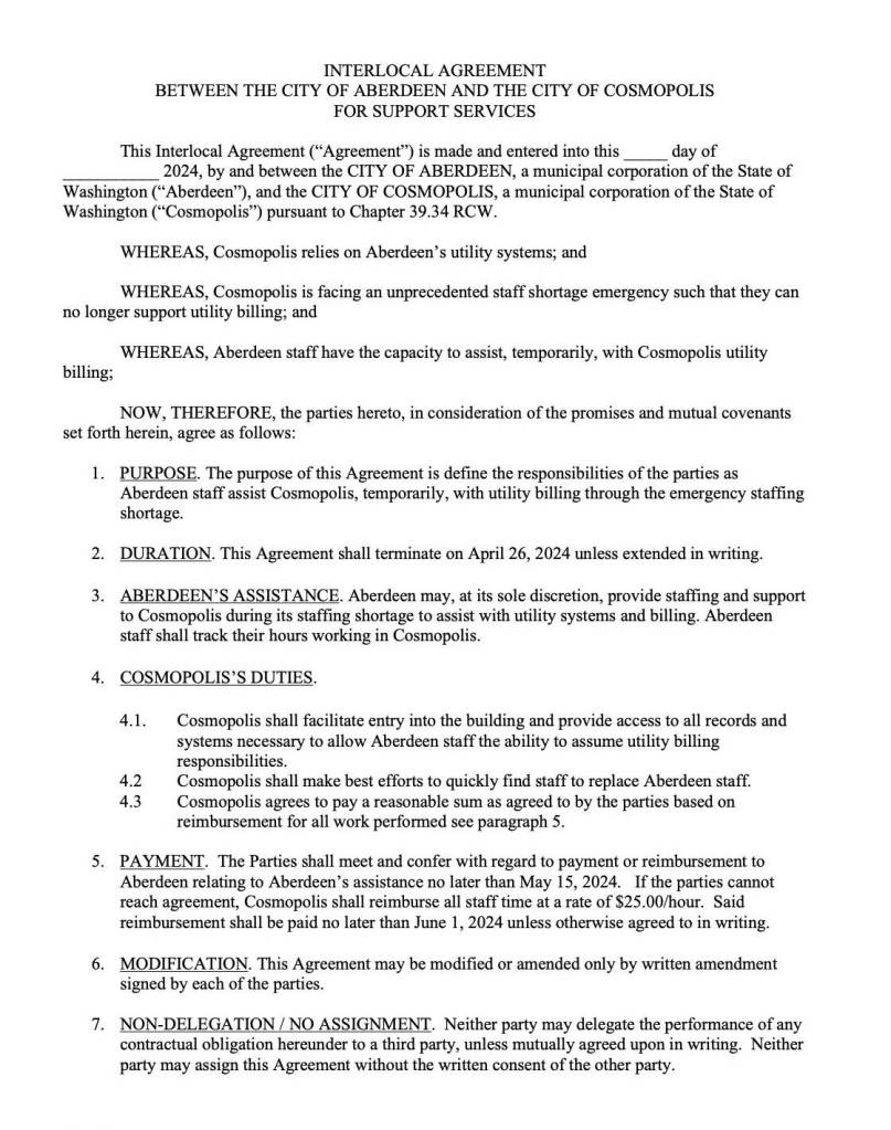
In the latest proposed agreement between Aberdeen and Cosmopolis as the latter city struggles through a major budgetary and staffing crisis, Aberdeen would lend staff to help its neighbor conduct utility billing services.
The interlocal agreement was approved unanimously by the Aberdeen City Council without discussion Wednesday evening and now awaits approval from the Cosmopolis City Council at a special meeting on April 3.
According to the proposed agreement, as approved by Aberdeen, the cities would meet by May 15 to agree to a “reasonable sum” for the utility billing work. If the cities can’t agree on a price, Cosmopolis would reimburse Aberdeen at $25 an hour for staff time. Cosmopolis would have to pay Aberdeen by June 1.
The agreement, which is slated to terminate on April 26, instructs Cosmopolis to “make best efforts to quickly find staff to replace Aberdeen staff,” and in the meantime facilitate entry for Aberdeen staff into Cosmopolis city buildings.
A group of critical Cosmopolis city staff, including the city administrator, public works director, finance director and city clerk resigned from their positions earlier this month, citing a hostile work environment. The city laid off half of its police department at the end of February with the city’s budget expected to plunge into a $60,000 deficit.
At its last meeting the city council approved an agreement with the Aberdeen Police Department to cover two-thirds of Cosmopolis’ police hours.
Cosmopolis Mayor Linda Springer said Thursday the city is receiving help from a city clerk, but declined to discuss the utility billing staff agreement until it appears before the council next Wednesday.
Aberdeen City Administrator Ruth Clemens said Aberdeen provides water and sewer service to Cosmopolis, so the city’s goal would be to ensure bills are processed and delivered.
With a small number of bills to send, Clemens said she anticipates lending one to five hours per week of Aberdeen staff time, although nothing is confirmed.
“Our finance and accounting team is very well-versed on utility billing cycles and processes,” Clemens said. “They identified pretty quickly what needs to be done. They are still working out a few things, but it’s been a great effort from a lot of different people who care about Cosmopolis.”
Contact reporter Clayton Franke at 406-552-3917 or clayton.franke@thedailyworld.com.
